INVENTARIO DE BIODIVERSIDAD AGRÍCOLA

EN DOS SUBCUENCAS DE LOS SANTOS, PANAMÁ[1]

 

Eliseo Batista-Villalobos[2]; Arturo Batista-De Gracia[3]; Orlando Osorio-Burgos[4]; Aurisbel Ávila-Guevara[5]; Anovel Barba-Alvarado[6]

 

RESUMEN

La biodiversidad agrícola es un elemento clave para la alimentación y la agricultura mundial. Contribuye con la seguridad alimentaria de la población que habita las cuencas hidrográficas en Azuero. El objetivo fue determinar la biodiversidad agrícola en subcuencas de Güera y Quema del río Tonosí, que facilite la conservación de los recursos fitogenéticos y la diversificación agroproductiva. El estudio se realizó durante el año 2017 en la provincia de Los Santos, utilizando una base de datos que incluía la ubicación de puntos de muestreo, localizadas en las subcuencas de Güera y Quema que fueron levantados en el 2015 de manera preliminar dentro del proyecto Red Agroclimática. A esta base se aplicó un muestreo estratificado, para estimar la probabilidad (Z) al 95% y el error máximo permisible de 0,01. Se establecieron tres tipos de cultivos (estratos): árboles frutales y maderables; pasturas naturales y mejoradas; cultivos agrícolas. Se analizó la biodiversidad agrícola mediante el índice de biodiversidad de Shannon-Wiener (H’) y el índice de dominancia de Simpson (S). Se utilizó el Software PAST 3.17. Obteniendo valores H´=3,6961 y D=0,0324 que indican una mayor diversidad para la subcuenca de Quema, por ser más heterogénea. Al analizar la biodiversidad agrícola por tipo de cultivo (estrato), los resultados más relevantes se presentaron en la subcuenca de Quema, en árboles frutales y maderables (H´=3,3080 y D= 0,0456). En conclusión, las fincas de la subcuenca de Quema presentaron valores de riqueza y abundancia que reflejan un manejo más intensivo y diversificado, tal como lo indican los valores de los índices de Shannon-Wiener (H´) y el índice de Simpson (D’) y en el estrato árboles frutales y maderables, la biodiversidad es mayor en las fincas de Quema, principalmente en cultivos de traspatio, para autoconsumo y venta ocasional.

 

Palabras clave: Abundancia de especies, estratos, índice de Shannon-Wiener, índice de Simpson, riqueza de especies.

 

INVENTORY OF AGRICULTURAL BIODIVERSITY IN THE GÜERA AND QUEMA

SUBBASINS, OF THE TONOSI LOS SANTOS RIVER, PANAMA

 

ABSTRACT

Agricultural biodiversity is a key element for food and agriculture worldwide. Agrobiodiversity contributes with the food security of the population that inhabits the watersheds in Azuero. Therefore, the aim was to determine the agricultural biodiversity in the Güera and Quema sub-basins of the Tonosí River, so that this information facilitates the conservation of phytogenetic resources and agro-productive diversification. The study was carried out during the year 2017 in the province of Los Santos, using a database that included the location of sampling points, located in the sub-basins of Güera and Quema that were preliminarily surveyed in 2015 within the Agroclimatic Network project. A stratified sampling was applied to this base, required to estimate the probability (Z) at 95% and the maximum permissible error of 0.01. Three types of crops (strata) were established: fruit and timber trees; natural and improved pastures; agricultural crops. Agricultural biodiversity was analyzed using the Shannon-Wiener biodiversity index (H') and Simpson's dominance index (S). PAST 3.17 software was used. H'=3.6961 and D=0.0324 values were obtained, which indicate greater diversity for the Quema sub-basin, as it is more heterogeneous. When analyzing agricultural biodiversity by crop type (stratum) within the sampling points, the most relevant results were found in the Quema sub-basin, in fruit and timber trees (H'=3.3080 and D= 0.0456). In conclusion, the farms in the Quema sub-basin present richness and abundance values that reflect a more intensive and diversified management, as indicated by the values of the Shannon-Wiener index (H') and Simpson's index (D') and in the fruit and timber tree stratum, biodiversity is higher in the Quema farms, mainly in backyard crops, for self-consumption and occasional sale.

 

Keywords: Shannon-Wiener index, Simpson index, species abundance, species richness, strata.

 

 

INTRODUCCIÓN

La biodiversidad agrícola, es un subconjunto de la biodiversidad que abarca la variabilidad de los organismos vivos, incluida su conservación in situ y ex situ a nivel de especie, genes y del ecosistema (Baul et al., 2015). Incluye todas las formas de vida directamente relevantes para la producción agrícola, que además de proporcionar directamente beneficios para los agricultores, la biodiversidad agrícola mejora los procesos ecológicos regulando el clima, manteniendo la calidad del suelo, proporcionando protección contra la erosión, almacenamiento de nutrientes y reducción de la contaminación (Karunarathna y Wilson, 2017).

 

La producción agrícola es importante para la alimentación humana y de otras especies. Sin embargo, la expansión de la agricultura y ganadería intensiva conllevar a que se pueda producir un 25% de pérdida de la biodiversidad y esto tendría sus efectos negativos en los próximos 50 años (Lanz et al., 2018). Esto implica vulnerabilidad, mayores riesgos económicos, menor seguridad alimentaria, pérdida de recursos para la adaptación futura y oportunidades de crecimiento agrícola insostenibles (Obayelu et al., 2015).

 

Esta vulnerabilidad está ligada a la manera en que se desarrollan las actividades agrícolas, lo que se ve reflejado en lo que se cultiva a nivel mundial. De los 1,500 millones de hectáreas agrícolas del planeta, 90% están dominadas por el monocultivo industrial dependiente de insumos y energía. Las plantas representan el 80% de la dieta humana. Sin embargo, la población humana demanda únicamente 12 tipos de granos y 23 especies de plantas para su alimentación (Altieri, 2015).

 

Otras referencias exponen la importancia de la biodiversidad agrícola y resaltan que hoy en día se conocen 30,000 plantas terrestres comestibles, de las cuales unas 7,000 son cultivadas o recolectadas por los humanos como alimento. Se ha determinado que sólo 30 cultivos proveen el 95% de calorías o proteínas vegetales que el hombre necesita. Dentro de estos, cinco tipos de cereales proveen el 60% de la energía alimentaria a la población mundial (arroz, trigo, maíz, mijo y sorgo). Otros cultivos importantes son las raíces y tubérculos (papa, batata y mandioca), y las leguminosas de semilla oleaginosa como la soja (Organización de las Naciones Unidas para la Agricultura y la Alimentación [FAO], 2015).

 

Las especies más valiosas, ya sean de cultivo o no, se producen en las tierras de cultivo para el suministro regular de productos y servicios que los agricultores necesitan para su sustento (Barfod et al., 2015). Por lo tanto, el agroecosistema humano manejado así en sus tierras de cultivo parece estar conservando una variedad de cultivos, árboles y ganado. Además, los frutos silvestres y autóctonos desempeñan un papel clave en la conservación de otra diversidad faunística en los agrosistemas (Baul et al., 2015).

 

En Panamá en la Reserva Forestal El Montuoso provincia de Herrera, distrito de Las Minas, Torres et al. (2016) determinó la diversidad de los agrosistemas de esta región, identificando 256 especies de plantas cultivadas en huertos familiares (biodiversidad cultivada) se lograron determinar 142 especies de plantas medicinales. Y de estas identificaron 52 especies procedentes del bosque, de las cuales hay que señalar a los miembros de las familias Fabaceae (9 especies) y Verbenaceae (4 especies) presentan mayor número de especies. Los mismos autores, en La Reserva Forestal La Tronosa en la provincia de Los Santos, distrito de Tonosí, identificaron 108 especies cultivadas. Entre ellas, plantas medicinales, representadas en 45 familias, 76 especies, 6 géneros y 27 sin identificar; y las familias con mayor número de especies fueron Rutaceae (6 especies) y Verbenaceae (5 especies) (Torres et al., 2017).

 

Ambos estudios brindan una panorámica del estado de la biodiversidad agrícola en algunas áreas de la región de Azuero y mencionan problemas ambientales como la deforestación, la quema y la extensión de la frontera agrícola para el establecimiento de la ganadería extensiva y la agricultura no sostenible. Estos factores afectan a las especies nativas de fauna y flora, la salud humana y los servicios de los bosques (Torres et al., 2017; Torres et al., 2016).

 

Estos estudios cobran mayor vigencia hoy en día, dado la constante presión que enfrenta la biodiversidad, con los riegos que involucran la erosión de los recursos genéticos. Y más aún que, dentro de los objetivos estratégicos enmarcados en la Convención para la Diversidad Biológica a escala mundial, está reducir las presiones que afectan la biodiversidad y promover su uso sostenible (Secretaría del Convenio sobre la Diversidad Biológica [SCBD], 2014).

 

Dada la presión que ejerce la agricultura itinerante, con prácticas como deforestación, la quema, y seguidas de ganadería extensiva. Y que atenta contra la biodiversidad, y los recursos genéticos que posee. Se hace necesaria la búsqueda de mayor sostenibilidad en los sistemas agroproductivos. Entre las alternativas para ello se encuentran la agroecología y la diversificación agrícola, basadas en especies locales, mayormente bajo cultivo marginal (Franco et al., 2016).  Para lograr esto, es necesario conocer con cuales recursos genéticos se cuenta y he aquí el rol que desempeña el inventario de diversidad.

 

Mediante una serie de protocolos básicos y significativos se puede monitorear la biodiversidad en un determinado sitio. El muestreo periódico de los mismos sitios ayudará a entender cómo cambia la biodiversidad a lo largo del tiempo. La metodología permitirá calcular índices y estimas de biodiversidad, como son la abundancia absoluta o relativa de especies, la diversidad de asociaciones o comunidades de especies o conocer cuál es la diversidad estructural y biomasa de los bosques (Puerta-Piñero et al., 2014).

 

Al inventariar la biodiversidad agrícola, se identifican, se catalogan y cuantifican especies dentro de un agrosistemas. Este conocimiento permite su descripción y estructuración en niveles que facilitan su manejo y conservación. Estos inventarios de biodiversidad agrícola cobran mayor importancia dentro del ámbito del conocimiento de las especies presentes en los agrosistemas. Dicho conocimiento facilita la conservación de los recursos genéticos del agroecosistema, dada la dificultad actual para aumentar la productividad agrícola y al mismo tiempo conservar la biodiversidad (Poggio, 2015).

 

 En este contexto, el objetivo de este estudio fue determinar la biodiversidad agrícola en subcuencas de Güera y Quema del río Tonosí, afín que esta información facilite la conservación de los de recursos fitogenéticos y la diversificación agroproductiva.

 

Esta investigación centra su interés a considerar las especies frutales, forestales, pasturas y cultivos. Que se encuentran presentes en los agrosistemas en las subcuencas de Güera y Quema del río Tonosí.

 

MATERIALES Y MÉTODOS

Área de Estudio: El estudio se desarrolló de enero a diciembre de 2017, en 41 puntos de muestreo, 29 en la subcuenca Güera y 12 en la subcuenca Quema del río Tonosí, distrito de Tonosí, provincia de Los Santos (Figura 1). Estas dos subcuencas tienen una superficie de 150 km2 y comprenden los ríos Quema (90 km2) y Güera (60 km2). Los suelos son clasificados como Inceptisoles, con régimen de humedad údico (Villarreal et al., 2013). El régimen de temperatura es Isohipertérmico y la zona de vida es Bosque Húmedo Tropical. Con precipitación promedio de 2,453 según datos Proyecto Red Agroclimática (2015-2024) (Instituto de Innovación Agropecuaria de Panamá [IDIAP], 2024).

 

Cálculo del tamaño de la muestra: Se utilizaron datos de ubicación puntos de muestreo compilados por el proyecto Red Agroclimática y Calidad de Agua, por medio de entrevistas a productores de las subcuencas de los ríos Güera y Quema. En la que se incluía tipo de cultivos y superficie dedicada cada cultivo. Luego con los datos de superficie de cada cultivo (en hectáreas), se aplicó un muestreo estratificado según López y González, (2014) para estimar la probabilidad (Z) al 95% y el error máximo permisible de 0,01 para determinar el tamaño de la muestra (Cuadro1).

 

n = N*pq / (N-1) * (E2/ Z2) + (pq)

 

Donde:    

n = Tamaño de la muestra proporcional a la población

N-1 = Total de la población objeto

E2 = Error máximo en el estudio que va de 0,01 a 0,001

Z2 = Valor de Z; 95% de confianza (1,96)

P = Proporción desconocida de las explotaciones agropecuarias

Tamaño de la muestra por tipo de cultivo = n (N1/N)

     n= Tamaño de la muestra total de la población

     N1= Tamaño de la muestra por tipo de cultivo (estrato)

     N = Sumatoria del tamaño de la muestra de todos los cultivos(estratos) 

 

 

Muestreo en campo: Para cada tipo de cultivos (estrato) se georreferenciaron los puntos de muestreo con un sistema americano de navegación y localización mediante satélite (Global Positioning System GPS) Garmin e Trex Legend ® y se recopiló la información siguiendo la metodología, como se detalla a continuación:

 

Árboles frutales y maderables: Se utilizó la metodología de muestreo en transeptos para árboles dispersos a lo largo de las áreas perimetrales a muestrear (Mostacedo y Fredericksen, 2000). Se trazaron transeptos de 5 × 50 m a lo largo y ancho del punto de muestreo. Se identificaron las especies, la frecuencia absoluta y la frecuencia relativa de las especies encontradas.

 

Pasturas naturales y mejoradas: La biodiversidad agrícola en las áreas de pastizales se identificó mediante la composición florística por el Método Botanal (rango de peso seco) (Mannetje y Haydock, 1963; Jones y Hargreaves,1979). En cada punto de muestreo se eligió la manga a muestrear y se trazaron transeptos de 5 × 50 m. Se lanzó un marco metálico de 0,50 × 0,50 m a lo largo de cada transepto y se determinó la composición botánica de las pasturas naturales y mejoradas, así como las arvenses presentes.

 

Cultivos agrícolas: La biodiversidad agrícola de cultivos se midió empleando parcelas temporales (PT) rectangulares de 100 m2 (10 m x 10 m). Que se establecieron temporalmente en cada punto de muestreo de cultivo y se identificó la biodiversidad presente de los cultivos en el área delimitada según metodología (Rügnitz et al., 2009).

 

Análisis de datos: Se analizó la biodiversidad agrícola mediante los índices de biodiversidad de Shannon (H’) y de dominancia de Simpson (S), siguiendo la metodología sugerida por Rojas et al. (2011). Para hallar el valor de los dos índices se utilizó el Software PAST 3.17 (Hammer et al., 2001). Los datos de cada estrato fueron procesados en el software Estimate S 910. De esta forma, para cada muestreo en orden aleatorio se determinó un número promedio de especies (Colwell, 2009). Los resultados fueron usados para ajustar el modelo logarítmico Y = (a / b) * [1 – EXP (-b * X)] en el programa IBM SPSS Statistics 24.0 para determinar la calidad del muestreo y elaborar las curvas de acumulación de especies.

 

 

RESULTADOS Y DISCUSIÓN

Composición de la agrobiodiversidad en las subcuencas en estudio: En total se registraron 95 especies distribuidas en 41 familias. Se contabilizaron 11 familias maderables en subcuenca de Güera y cinco familias en la subcuenca de Quema. Así mismo, para las especies frutales, en la subcuenca Güera se contabilizaron 17 familias y en la subcuenca Quema 15. Las especies maderables sobresalientes en el muestreo de la subcuenca de Güera fueron Anacardium excelsum L. (19,62%), Tectona grandis L. (17,08%) y Swietenia macrophylla G. King (15,82%) (Cuadro 2). Por otro lado, en la subcuenca de Quema el muestreo dio a conocer que las especies maderables de mayor representación son Gliricidia sepium (Jacq.) Walp (32,65%), Cedrela odorata L. (20,41%) y Lindackeria laurina C. Presl (14,29%) (Cuadro 3).

 

De igual manera, hubo especies frutales que destacaron por su alta presencia en la subcuenca Güera, tal el caso es el de Musa paradisiaca L. (AAB) (50,34%) y Coffea arabica L. (10,02%) (Cuadro 2). Del mismo modo en la subcuenca de Quema sobresalieron especies como Citrus sinensis Osbeck (12,67%) y Psidium guajava L. (9,99%) (Cuadro 3).

 

Con respecto al estrato pasturas naturales y mejoradas, se contabilizaron 14 familias en Güera y ocho familias en Quema. Las especies de pasturas naturales y mejoradas que más sobresalieron en el muestreo de la subcuenca de Güera fueron Paspalum notatum Flüggé (22,27%), Rhynchospora nervosa (Vahl) Boeck 12,89%) y Cynodon dactylon (L.) Pers (12,11%) (Cuadro 2). Para la subcuenca de Quema, las especies más sobresalientes fueron R. nervosa (Vahl) Boeck (21,60%), P. notatum Flüggé (19,20%) e Ischaemum indicum (Houtt.) Merr (12,80%) (Cuadro 3).

 

El inventario de biodiversidad agrícola para el estrato cultivos se centró en dos especies (Zea mays L. y Oryza sativa L.). En la subcuenca de Güera se identificaron seis materiales. La frecuencia de aparición de las variedades de maíz fue: Isleño Capullo Morado (10,39%), Capullo Blanco (9,09%), Pioneer P 4226 (5,19%) y IDIAP-MV-1816 (5,19%) (Cuadro 2), la frecuencia del arroz fue: Malena (45,45%) y Colombiano Amarillo (24,68%) (Cuadro 2). Para la subcuenca de Quema, se contabilizaron cuatro materiales distintos, dos para arroz y dos para maíz, en las siguientes frecuencias de aparición: maíz Pioneer P 4226 (10%) y maíz Das 3383 (10%), arroz Colombiano Amarillo (42,5%) y arroz Malena (37,5%) (Cuadro 3).

 

 

 

 

 

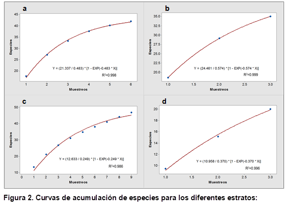
Curvas de acumulación de especies: A partir de las curvas de acumulación de especies, se determinó que los muestreos realizados en la subcuenca Güera fueron más completos. Esto se debe que la diversidad muestreada (Sobs) fue similar a la diversidad total teórica (a/b). Sin embargo, los muestreos en la subcuenca Quema deben ser complementados, ya que la diversidad muestreada es inferior a la diversidad teórica (Figura 2).

 

 

a.   Estrato Madera Fruta en la subcuenca Güera (Sobs=42; R2=0,998, a/b=44).

b.   Estrato Madera Fruta en la subcuenca Quema (Sobs=35; R2=0,999, a/b=42).

c.   Estrato Pastura en la subcuenca Güera (Sobs=47; R2=0,986, a/b=50).

d.   Estrato Pasturas en la subcuenca Quema (Sobs=20; R2=0,996, a/b=29).

 

 

En otros estudios en condiciones tropicales en huertos domésticos de Uganda, se encontró resultados similares a los obtenidos en este estudio, donde la curva de acumulación de especies indicó que se tomó un número razonable de muestras y que cualquier muestreo más intensivo probablemente arroje solo unas pocas especies adicionales (Mwavu et al., 2016).

 

Biodiversidad agrícola en las subcuencas de Güera y Quema del río Tonosí: De acuerdo con el índice de Shannon-Wiener (H´), ambas subcuencas tienen alta diversidad (H´>3). Sin embargo, al comparar la diversidad de las dos subcuencas en estudio se encontró que la subcuenca de Quema presenta mayor diversidad (H=3,6961) que la subcuenca de Güera (H=3,3881) (Cuadro 5), siendo estas diferencias altamente significativas (p<0,05). Este índice también sugiere que ambas subcuencas presentan alta equidad. Es decir que todas las especies están representadas por una cantidad similar de individuos.

 

De igual forma, el índice de Simpson (D’), indica que la subcuenca de Quema presenta mayor diversidad (D’= 0,03239) que la subcuenca de Güera (D= 0,077148) (Cuadro 4), y con diferencia estadística significativa (p<0,05). Este índice muestra que en la subcuenca de Quema la probabilidad de que dos individuos de esta comunidad tomados al azar pertenezcan a la misma especie es menor que para la subcuenca de Güera. Además, las comunidades en cada uno de los sitios presentan vegetación que tiende a tener poca equidad en la abundancia de especies y por tanto presenta dominio de unas pocas.

 

 

Al analizar la Biodiversidad agrícola por tipo de estrato dentro de las fincas se obtuvieron los siguientes resultados:

Estrato árboles frutales y maderables (incluyen los no maderables): Se observó que la diversidad de especies de fruta o madera fue más alta en la subcuenca de Quema (H´= 3,308, D´= 0,04563), en comparación con las fincas encontradas en la subcuenca de Güera (H´= 2,6542, D´=0,16073) (Cuadro 3). Los valores de (H´) superiores a 3 son considerados como diversos, así como los valores de D´ cercanos a 0. Por tanto, los valores encontrados denotan que la subcuenca de Quema es más diversa. Así mismo se encontró diferencias altamente significativas entre los valores obtenidos de H` (p<0,05).

 

 

Para ambas subcuencas, la diversidad presente en el estrato Fruta Madera corresponde a materiales introducidos por los dueños de las fincas y otros son originarios de la región. En esa misma línea, los productores manifestaron utilizar estas especies de frutales o maderables para autoconsumo y para su venta ocasional.

 

Los resultados concuerdan con estudios similares que manifiestan que las especies arbóreas dominantes demostraron ser árboles frutales. Estos árboles se siembran y/o retienen principalmente para obtener ingresos, nutrición y como amortiguador de las vicisitudes siempre presentes que enfrenta el sector agrícola (Wali et al., 2015).

 

En cuanto a los valores de los índices de diversidad, este estudio es consistente con el de Baul et al. (2015), (H’ = 3.33) y donde se reportó una correlación positiva entre el tamaño real de la granja y la diversidad de la especie que indica que cuanto mayor era el área de la granja, mayor era la diversidad de su especie. Por otro lado, los resultados del presente estudio muestran una diversidad más alta (H´= 3,308, D´= 0,04563) a los encontrados por Agaba et al. (2015), donde se obtuvieron los valores H´= 2,988, D´= 0,926. en granjas más a cercanas bosque natural intacto.

 

Estrato pasturas naturales y mejoradas: En la subcuenca de Güera se encontraron los siguientes valores: H´= 2,6168, D´=0,1101 (Cuadro 6). En tanto, en la subcuenca de Quema los valores fueron los siguientes: H´= 2,3786, D´=0,1241 (Cuadro 7). Los valores H´ se ubicaron en un rango normal (entre 2 y 3; < 2 bajos; >3 altos). Sin embargo, los resultados son más altos en la subcuenca de Güera que en la subcuenca de Quema. Por consiguiente, la subcuenca de Güera es más diversa.

 

Del mismo modo, los valores del índice Simpson también indican que la subcuenca de Güera es más diversa, ya que los valores de D´ son más cercanos a 0. Este índice muestra que en la subcuenca de Güera la probabilidad de que dos individuos de esta comunidad tomados al azar pertenezcan a la misma especie es menor.

 

 

En cuanto a los niveles de significancia, estos se ubicaron en niveles altos al comparar los valores obtenidos de H` (p<0,05) para la diversidad en pasturas naturales y mejoradas. Por otro lado, los índices (D`) no reportaron diferencias significativas (p>0,05).

 

Contigua al área de estudio, Torres et al. (2017) reportó problemas ambientales como la deforestación, la tala y la quema en la Reserva Forestal La Tronosa. De igual manera, en el presente estudio los dueños de las fincas con pastizales manifestaron que la quema indiscriminada y el sobrepastoreo son problemas que afectan la prevalencia de sus pastizales. Del mismo modo, Álvarez et al. (2016) expone que los pastizales sufren transformaciones intensas a causa de la influencia humana como el fuego y el pastoreo.

 

A todo esto, se ha propuesto que estas alteraciones promueven la invasión de especies exóticas (Hobbs y Huenneke,1992). Ahora bien, los resultados de la composición de la agrobiodiversidad para el estrato Pasturas (naturales y mejoradas) muestran que en las fincas de Güera y Quema la diversidad está relacionada no solo con especies de pastos, sino que se ve influenciada de manera fuerte por especies de arvenses. Por este motivo los valores de H´ se ubicaron en un rango normal entre 2 y 3 (Cuadro 6).

 

En contraste a lo expuesto, Altieri (2015) sostiene que la agricultura convencional simplifica la naturaleza. Esto implica un cambio de ecosistemas naturales a monocultivos. Sin embargo, las condiciones simplificadas propias de agricultura convencional no se ven reflejadas en las pasturas de este estudio, con una uniformidad o prevalencia de pocas especies.

 

Lo anterior se debe a que estas especies arvenses, pastos introducidos y nativos conviven en el sistema y le aportan mayor diversidad. De igual manera, también crean competencia, que denota algún grado de degradación por inadaptación de las especies introducidas o por mal manejo.

 

Estrato cultivos agrícolas: Los valores de diversidad obtenidos tanto para H´ como para (D`) en el estrato cultivos agrícolas (Cuadro 5) reflejan que la biodiversidad es más alta en la subcuenca de Güera (H´= 1,4642, D´= 0.29195). En tanto, en la subcuenca de Quema los valores fueron los siguientes: (H´= 1,192, D´=0,34125), lo que indica que la diversidad es menor en esta subcuenca (Cuadro 6). Sin embargo, los valores de H´ se ubicaron en un rango bajo (H`< 2) para las dos subcuencas en estudio, lo que indica una baja diversidad. De igual manera, los valores de (D`) se ubicaron en un rango bajo para las dos subcuencas, en el estrato cultivos agrícolas, por estar más cercanos a 1.

 

 

Se presentó diferencias altamente significativas al comparar los valores de H` obtenidos para los cultivos presentes tanto paras fincas de Güera como para las fincas de Quema (0,0379). Por otro lado, los valores de D` no reportó diferencias significativas (p>0,05) al comparar la diversidad de las fincas de ambas subcuencas.

 

Cabe señalar que los valores obtenidos para H` y D` guardan relación con hechos reportados a nivel mundial. Donde se sugieren que el número de granjas ha disminuido, mientras el tamaño de las granjas ha aumentado. Sin embargo, esto ha ocasionado una tremenda erosión de la diversidad genética, ya que la agricultura industrial tiende al reemplazo de lo natural y diversificado por los sistemas simplificados de monocultivo (Altieri, 2015). De igual modo, en el presente estudio la erosión de diversidad genética se ve reflejada a nivel de las fincas de ambas subcuencas en el estrato cultivos agrícolas, con una heterogeneidad baja y con alta dominancia de un número reducido de materiales.

 

En esa misma línea de ideas, Mwavu et al. (2016) sostiene que la limitación de tierra es la razón más común para abandonar algún cultivo alimentario, ya que la mayoría de la tierra que anteriormente estaba disponible para el cultivo, ahora se alquila para el cultivo comercial. De igual manera en el contexto de las áreas en estudio, los dueños de las fincas afirman que el abandono de los terrenos se debe a factores socioeconómicos como alto costo, escases de mano de obra y programas sociales de subvención.

 

Ahora bien, los resultados que se obtuvieron en el estrato cultivos agrícolas (H´= 1,4642 y 1,192), no distan de los reportados por Mwavu et al. (2016), donde los valores de H´, fueron mayor que 1 para la mayoría de huertos familiares. Estos valores considerados están dentro del rango reportado por otros estudios similares situado entre 0,93 y 3,0 para huertos tropicales (Kehlenbeck y Maass, 2004).

 

 

CONCLUSIONES

·      A nivel de subcuenca Quema presentó mayor biodiversidad agrícola que Güera. Dado que las fincas de la subcuenca de Quema obtuvieron valores de riqueza y abundancia que reflejan un manejo más intensivo y diversificado, tal como lo indican los valores de los índices de Shannon-Wiener (H´) y el índice de Simpson (D’).

 

·      En el estrato árboles frutales y maderables la biodiversidad es mayor en las fincas de Quema, principalmente en cultivos traspatios para autoconsumo y venta ocasional.

 

·      En el estrato pasturas naturales y mejoradas la biodiversidad es mayor en las fincas de la subcuenca de Güera. La alta presencia de especies de arvenses y de pasturas nativas, hacen ver la mejor adaptación de estas a las condiciones locales, reflejan un mal manejo de las praderas.

 

·      En el estrato cultivos agrícolas existe alta dominancia de variedades locales, que son las que prevalecen en las fincas de las subcuencas de Güera, más que en las fincas de Quema. En cambio, las fincas de Quema presentan una mayor utilización de materiales mejorados.

 

 

REFERENCIAS

Altieri, M. (2015). Agroecology, key concepts, principles and practices. Main learning points from training courses on Agroecology in Solo, Indonesia and Lusaka, Zambia. Third World Network (TWN) y Sociedad Latinoamericana de Agroecología (SOCLA). 47p. https://www.researchgate.net/publication/284158848

 

Álvarez, J., Rivas, I., Aguilera, L., y González, M. (2016). Diversidad y estructura de un pastizal en El Cerrillo, Piedras Blancas, Estado de México, México. Revista Mexicana de biodiversidad, 87(3), 980-989. https://doi.org/10.1016/j.rmb.2016.06.006

 

Barfod, A., Balhara, M., Dransfield, J., y Balslev, H. (2015).  SE Asian Palms for Agroforestry and Home Gardens. Forest 6(12), 4607-4616. https://doi.org/10.3390/f6124389

 

Baul, T., Rahman, M., Moniruzzaman, Md., y Nandi, R. (2015). Status, utilization, and conservation of agrobiodiversity in farms: a case study in the northwestern region of Bangladesh. International Journal of Biodiversity Science, Ecosystems Services and Management, 11(4), 318-329.

https://www.tandfonline.com/doi/full/10.1080/21513732.2015.1050456

 

Colwell, R. K. (2009). EstimateS: Statistical estimation of species richness and shared species from samples. Version 8.2. User's Guide and application published at: http://purl.oclc.org/estimates.

 

Organización de las Naciones Unidas para la Agricultura y la Alimentación. (2015). Recursos Genéticos y Biodiversidad para la Alimentación y la Agricultura. http://www.fao.org/assets/infographics/FAO-Infographic-CGRFA30-es.pdf

 

Franco, W., Peñafiel, M., Cerón, C., y Freire, E. (2016). Biodiversidad productiva y asociada en el Valle Interandino norte del Ecuador. Bioagro, 28(3), 181-192. http://www.redalyc.org/articulo.oa?id=85749314005

 

Hammer, Ø., Harper, D. A. T., y Ryan, P. D. (2001). PAST: Paleontological statistics software package for education and data analysis. Palaeontología Electrónica, 4, 1-9. http://palaeo-electronica.org/2001_1/past/issue1_01.htm

 

Hobbs, R., y Huenneke, L. (1992). Disturbance, diversity and invasion implications for conservation. Conservation Biology, (6), 324–337. https://onlinelibrary.wiley.com/doi/abs/10.1046/j.1523-1739.1992.06030324.x

 

Instituto de Innovación Agropecuaria de Panamá. (2024). Proyecto Red Agroclimática. 2015-2024. Grupo de investigación. https://proyectos.idiap.gob.pa/proyectos/Investigacion_agroclimatica_para_mejorar_la_sostenibilidad_del_agronegocio_en_Azuero./es

 

Jones, R., y Hargreaves, J. (1979). Improvements to the dry-weight-rank method for measuring botanical composition. Grass and Forage Science 34, 181-189. https://doi.org/10.1111/j.1365-2494.1979.tb01465.x

 

Karunarathna, M., y Wilson, C. (2017). Agricultural biodiversity and farm level technical efficiency: An empirical investigation. Journal of Forest Economics, 29(1), 38-46. http://dx.doi.org/10.1016/j.jfe.2017.08.002

 

Kehlenbeck, K., y Maass B. (2004). Crop diversity and classification of homegardens in Central Sulawesi, Indonesia. Agroforestry systems, 63(1), 53-62. https://link.springer.com/article/10.1023/B:AGFO.0000049433.95038.25

 

Lanz, B., Dietz, S., y Swanson, T. (2018). The Expansion of Modern Agriculture and Global Biodiversity Decline: An Integrated Assessmet. Ecological Economics, 144, 260-277. https://doi.org/10.1016/J.ECOLECON.2017.07.018

 

López, K. S., y González, G. T. (Eds.). (2014). Métodos y técnicas cualitativas y cuantitativas aplicables a la investigación en ciencias sociales. Tirant Humanidades México. file:///C:/Users/Usuario/Downloads/CAP_20_MUESTREO_ESTRATIFICADO.pdf

 

Mannetje, L., y Haydock, K. (1963). The dry weight-rank method for the botanical analysis of pasture. J Br Grassld Soc. 18, 268-275. https://doi.org/10.1111/j.1365-2494.1963.tb00362.x

 

Mostacedo, B., y Fredericksen T. (2000). Manual de métodos básicos de muestreo y análisis en ecología vegetal. http://www.bio-nica.info/biblioteca/mostacedo2000ecologiavegetal.pdf

 

Mwavu, E., Ariango, E., Ssegawa., Kalema, V., Bateganya, F., Waiswa, D., y Byakagaba, P. (2016). Agrobiodiversity of homegardens in a commercial sugar cane cultivation land matrix in Uganda. International Journal of Biodiversity Science, Ecosystems Services and Management, 12(3), 191–201. https://doi.org/10.1080/21513732.2016.1177595

 

Obayelu, O., Akintunde, O., y Obayelu, A. (2015). Determinants of on-farm cassava biodiversity in Ogun State, Nigeria. International Journal of Biodiversity Science, Ecosystems Services and Management, 11(4), 298-308. https://doi.org/10.1080/21513732.2015.1071282

 

Poggio, S. (2015). Los desafíos de aumentar la productividad agrícola y también conservar la biodiversidad en los paisajes rurales. http://ri.conicet.gov.ar/bitstream/handle/11336/46164/CONICET_Digital_Nro.ad95cc1a-c6ad-48cf-a218-4491b611803b_A.pdf?sequence=5&isAllowed=y

 

Puerta-Piñero, C., Gullison, R. E., Condit, R., Angermeier, P. L., Ibáñez, R., Pérez, R., Robinson, W. D., Jansen, P. A., y Roberts, J. H.  (2014). Metodologías para el Sistema de Monitoreo de la Diversidad Biológica de Panamá (versión en Español). http://dx.doi.org/10.5479/si.ctfs.0001

 

Rojas Gutiérrez, A., Lozano Batache, L. A., y Yaya Mejía, M. (2011). Evaluación   Ecológica y Estructural de los Bosques del Departamento del Tolima. Ibague, Colombia: Universidad del Tolima. file:///C:/Users/Usuario/Downloads/VegetacinTolima.pdf

 

Rügnitz, M., Chacón, M., y Porro, L. (2009). Guía para la determinación de carbono en     pequeñas propiedades rurales. 1. Ed., Lima, Perú: Centro Mundial Agroflorestal (ICRAF)/Consórcio Iniciativa Amazônica (IA). 79 p. https://apps.worldagroforestry.org/downloads/Publications/PDFS/B16293.pdf

 

Secretaría del Convenio sobre la Diversidad Biológica. (2014). Perspectiva Mundial sobre la Diversidad Biológica 4. Evaluación a mitad de período sobre los avances en la implementación del Plan Estratégico para la Diversidad Biológica 2011-2020.155 p.

https://www.cbd.int/gbo/gbo4/publication/gbo4-es-hr.pdf

 

Torres, N., Martínez, J., Laurido, C., y Zapata, A. (2016). Plantas medicinales de Panamá 1: Etnobotánica de la Reserva Forestal el Montuoso. Boletín Latinoamericano y del Caribe de Plantas Medicinales y Aromáticas, 15(6), 407-421.

            http://www.blacpma.usach.cl/sites/blacpma/files/articulo_4_-_1200_-_407_-_421_0.pdf

 

Torres, N., Martínez, J., Laurido, C., y Zapata, A. (2017). Plantas medicinales de Panamá 2: Etnobotánica de la Reserva Forestal La Tronosa, provincia de Los Santos. Boletín Latinoamericano y del Caribe de Plantas Medicinales y Aromáticas, 16(4), 361-384.

http://www.blacpma.usach.cl/sites/blacpma/files/articulo_3_-_1305_-_361_-_384_0.pdf

 

Villarreal, J., Name, B., y García, R. (2013). Zonificación de suelos de Panamá en base a niveles de nutrientes. Ciencia Agropecuaria, (21), 71-89. ZONIFICACIÓN DE SUELOS DE PANAMÁ EN BASE A NIVELES DE NUTRIENTES | Ciencia Agropecuaria (revistacienciaagropecuaria.ac.pa)

 

Wali, S., Agaba, H., Balitta, P., Hafashimana, D., Nkandu, J., Kuria, A., … Sinclair, F. (2015). Tree species diversity and abundance in coffee farms adjacent to areas of different disturbance histories in Mabira forest system, central Uganda. International Journal of Biodiversity Science, Ecosystem Services & Management, 11(4), 309–317. https://doi.org/10.1080/21513732.2015.1050607

 

 



[1]Recepción: 28 de febrero de 2024. Aceptación: 18 de abril de 2024. Investigación financiada por el Instituto de Innovación Agropecuaria de Panamá (IDIAP).

[2]IDIAP. M.Sc. Prod. Agríc Sostenible. e-mail: eliseobatista@gmail.com (autor para la correspondencia); ORCID iD: https://orcid.org/0009-0004-7394-0762

[3]IDIAP. M.Sc. Prod. Agríc. Sostenible. e-mail: arturobatista19@yahoo.com; ORCID iD: https://orcid.org/0009-0007-0159-2879

[4]IDIAP. M.Sc. Protección Vegetal. e-mail: odilson24@hotmail.com (autor para la correspondencia); ORCID iD: https://orcid.org/0000-0002-7926-7175

[5]IDIAP. M.Sc Ambiente y Desarrollo. e-mail: aurisbel.a@hotmail.com; ORCID iD: https://orcid.org/0009-0008-3229-5604

[6]IDIAP. Ph.D. Entomología Agrícola. e-mail: anovelbarba@gmail.com; ORCID iD: https://orcid.org/0000-0001-5182-1667